制備復合液滴的微尺度流動方法(上)
摘 要 微尺度流動能夠一步到位地制備不同結構和功能、尺寸在微米量級的復合液滴。文章回顧了幾種常見的基于復合液滴的微尺度流動方法包括同軸電霧化、復合流動聚焦、微流控芯片、玻璃微毛細管等并對各種技術的原理和進展進行了簡要概括和分析。在這類流動中不同種類的流體在一定的幾何結構通道或外力場作用下平穩地拉伸成微細射流并最終破碎成復合液滴。在同軸電霧化和復合流動聚焦技術中從毛細管流出的流體能夠形成穩定的錐?射流結構當外力作用改變時能夠形成不同的流動模式。在微流控芯片和玻璃微毛細管技術中流體被約束在固定管道內不同管道構型下能夠形成不同的流動形態。這些方法都采用純物理機理過程穩定、易于操作制備的復合液滴粒徑可控單分散性好微觀結構可設計在科學研究和工程實際中具有重要的應用價值。
引 言
復合微液滴是一種具有復雜結構、大小在微米尺度的液滴包括雙層殼核結構微液滴、多層復合結構微液滴、 Janus 微液滴、同核/異核結構微液滴以及異核Janus結構微液滴等不同類別在科學研究和工程實際中具有重要的應用價值其制備方法也受到越來越多的關注。殼核結構微液滴是一類球狀或類球狀體外層稱為囊膜壁殼內層稱為囊芯物包埋材料分散或溶解在骨架基質之中常用的囊膜壁殼材料有高分子、脂質體等如圖1(a)所示。多層結構微液滴一般具有多層殼核結構涉及了多種囊膜壁殼材料或囊芯物材料如圖1(b)所示。Janus微液滴一般是由左右分布不同組分材料組成的微液滴且表現出不同的化學或物理特性如圖1(c)所示。同核/異核結構微液滴是指具有殼核結構、囊芯物由多個相同材料或不同材料組成的復合微液滴分別如圖1(d)和(e)所示。異核Janus微液滴結構更復雜是指結合了殼核結構微液滴以及Janus微液滴特征而形成的一種新的復合微液滴 如圖1(f)所示。
圖 1 復合微液滴的幾種典型結構
由于復合微液滴具有可控復雜型結構所以這類微液滴在材料科學、生物醫學、食品、化學等領域中具有很大的應用潛力。比如在醫學和藥學中將藥物或造影劑封裝到不同囊材的微納膠囊中能夠滿足各種臨床需求包括病癥的靶向治療、藥物的控緩釋(控釋以及緩釋)、多功能造影劑、保持藥物的活性。在食品工業中微納膠囊亦被廣泛使用以達到保護敏感的生物活性物質、掩蓋不良氣味或味道、提高其生物利用度固定食品加工中的細胞或酶。在農業領域將農藥溶液霧化成單分散微液滴使農藥覆蓋更為均勻提高農藥的效率而將農藥做成微囊懸浮劑則可以保護農藥有效成分達到農藥的控緩釋效果減少施藥次數降低環境污染。
此外微納米量級的液滴、顆粒和膠囊對增材制造、細胞工程、組織工程、再生醫學等國際重大需求及其涉及的新興交叉學科領域也是至關重要的。目前制備復合微液滴的技術可以分為自下而上和自上而下兩大類。自下而上的制備技術主要是化學或物理化學方法也就是通過原子力、Van derWaals力或者毛細力使微觀尺度的物質形成具有一定功能形狀或結構的產物這是最早發展起來的制備微液滴的技術也是目前使用最為廣泛的技術。相對應地自上而下的制備技術主要是物理方法也就是利用物理技術和材料的物理特性將材料離散至微納米尺度顆粒的制備方法。從微液滴制備技術的發展分類又可以分為以乳化法、相分離法、化學自組裝法為代表的傳統制備技術以及近些年發展起來的以電霧化技術、流動聚焦技術、微流控技術、玻璃微毛細管技術等為代表的新型微載體制備技術。這些新型制備技術不僅可以得到單分散性非常好的復合微液滴 還可以提高囊芯物的包裹率從而提高材料的利用率。
本文將回顧幾種常見的基于復合液滴的微尺度流動涉及了同軸電霧化、復合流動聚焦以及具有復雜結構的微流控芯片、玻璃微毛細管等技術并對幾種技術的原理和進展進行簡要概述。這些技術的相似之處在于在一定的幾何結構通道或外力場作用下兩種或多種液體能夠平穩地拉伸成微細射流并最終破碎成復合微液滴。這些方法都采用純物理機理能夠制備不同結構和形貌的復合微液滴過程穩定、易于操作產物粒徑可控、單分散性好。然而這幾種技術因裝置結構或外力場的不同相互之間也存在一定的差異。由于同軸或多軸等復合結構的裝置都是從單軸結構衍生而來我們將從相應的單軸技術開始逐一進行介紹并過渡到同軸或多軸技術.
1 同軸電霧化技術
電霧化是一種使液體在高壓電場作用下霧化的方法其基本原理是從毛細針管流出的液體受到高壓靜電場力的作用在管口形成半月形界面即“Taylor 錐” 并在錐形頂端形成一股微細射流該射流由于不穩定性在距離管口一定距離處破碎成單分散性的液滴。電霧化技術根據使用針管類型可以分為單軸電霧化和同軸電霧化繼而又發展出更復雜的多軸電霧化以及復合型電霧化等。電霧化技術設備簡單、成本低廉產物單分散性高、粒徑小可應用在質譜儀、乳劑制備、超微氣霧劑制備、汽油噴灑、微包裹和噴墨打印等領域。
早在 1745 年電霧化這種現象就被Bose 發現。1882年Rayleigh 利用帶電液體研究了電霧化技術的不穩定性。100多年前Zeleny研究了帶電液體表面放電現象而Taylor則第一個觀察到錐形的形成因此帶電錐體也被命名為“ Taylor 錐”。簡易的單軸電霧化裝置系統主要由不銹鋼針管、接收板、微量注射泵、注射器和高壓直流電源等組成。高壓直流電源一方面是使溶液帶電另一方面則是給流體運動提供電場作用。通過改變施加的電場強度和液體的流速可以得到單軸電霧化的幾種模式,主要包括滴模式和射流模式。滴模式根據不同的性質又可以分為滴落模式、微液滴模式、紡錘模式以及多紡錘模式而射流模式根據射流的穩定性可以分為錐?射流模式、擺動模式、旋轉模式和多射流模式。在實驗中我們通常利用的是穩定的錐?射流模式因為該模式下可以產生高單分散性的微液滴.
同軸電霧化就是將單軸電霧化中的針管換成同軸針管其由內外兩層流體組成實驗裝置系統如圖2(a)所示。在 2002 年 Science 雜志首次報道了利用同軸電霧化技術制備油包水的微膠囊并在實驗過程中得到了穩定的同軸錐?射流結構射流最終會破裂成單一分散的油包水微液滴如圖2(b)所示。通過改變電壓流量等參數可以制備得到粒徑在 0.15~10 μm 之間的油包水微液滴。在同軸電霧化中通過改變外部電壓和液體流速能夠觀察到4種流動模式分別是滴模式、錐振動模式、穩定錐射流模式和多射流模式如圖2(c)所示。在穩定錐射流模式下利用同軸電霧化技術能夠制備得到均勻的載藥微膠囊藥物包裹率接近 100% 如圖 2(d)所示.



圖 2 同軸電霧化技術
在同軸電霧化中施加的電場強度和內外層液體的流量速度是最主要過程參數直接影響錐形和射流的穩定性、復合微液滴的大小以及微膠囊的殼厚等特性,其他影響因素還包括內外層液體的介電常數、電導率、表面/界面張力和黏度等物理屬性。因此,并不是所有的材料都可以適用。
可以看出電霧化技術制備得到的微納米載體單分散性好、粒徑可控、包裹率和載藥率高。另外電霧化技術實驗系統簡單成本非常低通過調節電壓和流速可以制備得到納米顆粒.
近年來隨著微尺度流動及其交叉研究的推進一步到位包裹多種不同囊芯材料的多軸電霧化也被提出并用于制備復合微液滴。如圖3( a)所示利用3層同軸針頭進行電霧化實驗能夠制備出同時包裹不同藥物或造影劑的多層微膠囊。復合型電霧化技術是利用具有特殊結構的針管進行電霧化實驗比如利用并列的兩個針頭能夠制備得到一半顯綠色熒光、 一半顯紅色熒光的Janus微球如圖3(b)所示。利用復合型電霧化技術還能夠得到“一包一”、“一包二”、“一包三”和“一包四”等復合型微載體如圖3(c)所示.


圖 3 多軸電霧化技術
2 復合流動聚焦技術
流動聚焦技術是在 1998 年第一次被提出國際上 Ga?án?Calvo 教授課題組、 國內司廷教授課題組分別開展了大量研究工作目前已發展成為微尺度流動技術中的重要組成部分。其基本原理是毛細管口正對一個小孔液體從毛細管中流出并在高速穿過小孔的驅動流體作用下被聚焦從而形成錐射流結構最后射流因界面上擾動的發展而破碎成微液滴。根據使用針管結構的不同可以將流動聚焦技術簡單分為單軸流動聚焦和復合流動聚焦。根據驅動流體的不同又可以將之分為氣體驅動和液體驅動兩種模式。圖4給出了幾種不同結構流動聚焦及典型的穩定錐形和收集液滴的圖像。流動聚焦技術具有簡單易操作、易集成、 材料適用范圍廣及生產效率高等優點在生物醫學、材料科學、工農業等領域有著非常重要的應用前景.
近年來將流動聚焦和電霧化相結合可以產生電流動聚焦技術而將流動聚焦原理應用于微流控芯片或玻璃微毛細管裝置中可以產生微流控流動聚焦技術.
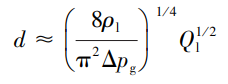
在氣體驅動的單軸流動聚焦中射流直徑 d 的尺度律關系在1階近似下滿足以下關系:
其中ρl為液體的密度Δpg為氣體的壓力差Ql為液體流量速度。結果表明射流直徑與結構參數、液體和氣體的黏性以及液?氣之間的表面張力系數無關。進一步地可以通過實驗定量研究液體流量速度、氣體壓力差等參數對流動聚焦的影響能夠給出不同參數影響射流破碎的實驗規律。比如隨著氣體的壓力差增大流動聚焦產生的顆粒由單分散性向多分散性逐漸轉變射流也由軸對稱模式向非軸對稱模式轉變。本課題組進一步研究了氣體驅動流動聚焦的內在規律利用自行設計的流動聚焦裝置實驗得到流動聚焦的6種模式錐振動模式、錐粘連模式、螺旋射流模式、共存射流模式、軸對稱射流模式以及滴模式通過實驗找到了各種模式之間的轉換邊界并利用不穩定性理論分析給出了模式之間的轉換邊界與實驗結果相對應。液體驅動流動聚焦是以液體作為外相來驅動內層液體或氣體。Ga?án?Calvo課題組使用超純水來驅動硅油研究了液體驅動流動聚焦中滴模式和射流模式兩種模式之間的轉變規律在固定驅動流量不變的前提下隨著內層油相流量的逐漸變大流動聚焦也由滴模式逐漸變為射流模式在同等模式下微液滴的粒徑隨著內層流量的增大而增大。單軸流動聚焦結構最簡單能夠制備不同種類的微液滴和微顆粒.

圖 4 不同結構流動聚焦的穩定錐形和收集的液滴
同軸流動聚焦技術使用兩根同軸嵌套的毛細管可以實現“一包一”或“一包多”復合微液滴的高效制備。Martín?Banderas等利用氣體驅動同軸流動聚焦技術制備得到光固化材料包裹藍色墨水的微膠囊由于內層溶液相對于外層溶液先破碎從而形成了“一包多” 的復合型微膠囊結構。Zhu等利用液體驅動同軸流動聚焦技術制備得到了包裹有吲哚菁綠( ICG)水溶液的脂質體微膠囊并給出雙層微膠囊粒徑公式D的尺度律關系
Qo與Qf分別為內層流量、外層流量以及驅動液流量Dorif為小孔直徑α為與結構參數相關的常數。上述公式表明在相同實驗裝置情況下粒徑大小主要由內外層和驅動液的流量以及小孔直徑決定而與其他參數無關。
更復雜的復合流動聚焦是利用復合針頭來實現的目前這方面的報道相對較少實驗也存在較大難度。Si等利用氣體驅動三軸流動聚焦制備得到了3層微膠囊如圖4(c)所示并研究了實驗裝置參數對錐形的影響。在氣體驅動同軸流動聚焦的基礎上Si等進一步提出“ 一包二”形式的復合流動聚焦 并制備了“一包二”的海藻酸鈉微膠囊如圖4(d)所示。Wu等在液驅同軸的基礎上進行拓展提出了多核Janus微膠囊的制備方法如圖4(e)所示并通過將細胞混合在兩種內外層海藻酸鈉溶液中制備了載4種不同細胞的Janus微膠囊在3D細胞共培養方面做了初步演示。進一步地Wu等還研究了半月形Janus微膠囊的形成方法并首次制備了非球形的復合微膠囊。
免責聲明:文章來源網絡 以傳播知識、有益學習和研究為宗旨。 轉載僅供參考學習及傳遞有用信息,版權歸原作者所有,如侵犯權益,請聯系刪除。
標簽:   液滴微流控
